KAU Home
Home
Web Mail
센터소개
주요기능
새내기 로드맵
주요프로그램
구성원소개
오시는길
커뮤니티
뉴스인사이드
멘토 활동
멘토 게시판
년간일정
멘토인터뷰
새내기 입문사전
영상자료
재학생멘토현황
정보센터
공지사항
자료실
Q&A
FAQs
비교과프로그램 안내
관련링크
학생역량관리시스템
학생자치기구
상담신청
진로정보
KAU Home
Home
Web Mail
센터소개
주요기능
새내기 로드맵
주요프로그램
구성원소개
오시는길
커뮤니티
뉴스인사이드
멘토 활동
멘토 게시판
년간일정
멘토인터뷰
새내기 입문사전
영상자료
재학생멘토현황
정보센터
공지사항
자료실
Q&A
FAQs
비교과프로그램 안내
관련링크
학생역량관리시스템
학생자치기구
상담신청
진로정보
정보센터
정보센터
공지사항
자료실
Q&A
FAQs
비교과프로그램 안내
공지사항
정보센터
공지사항
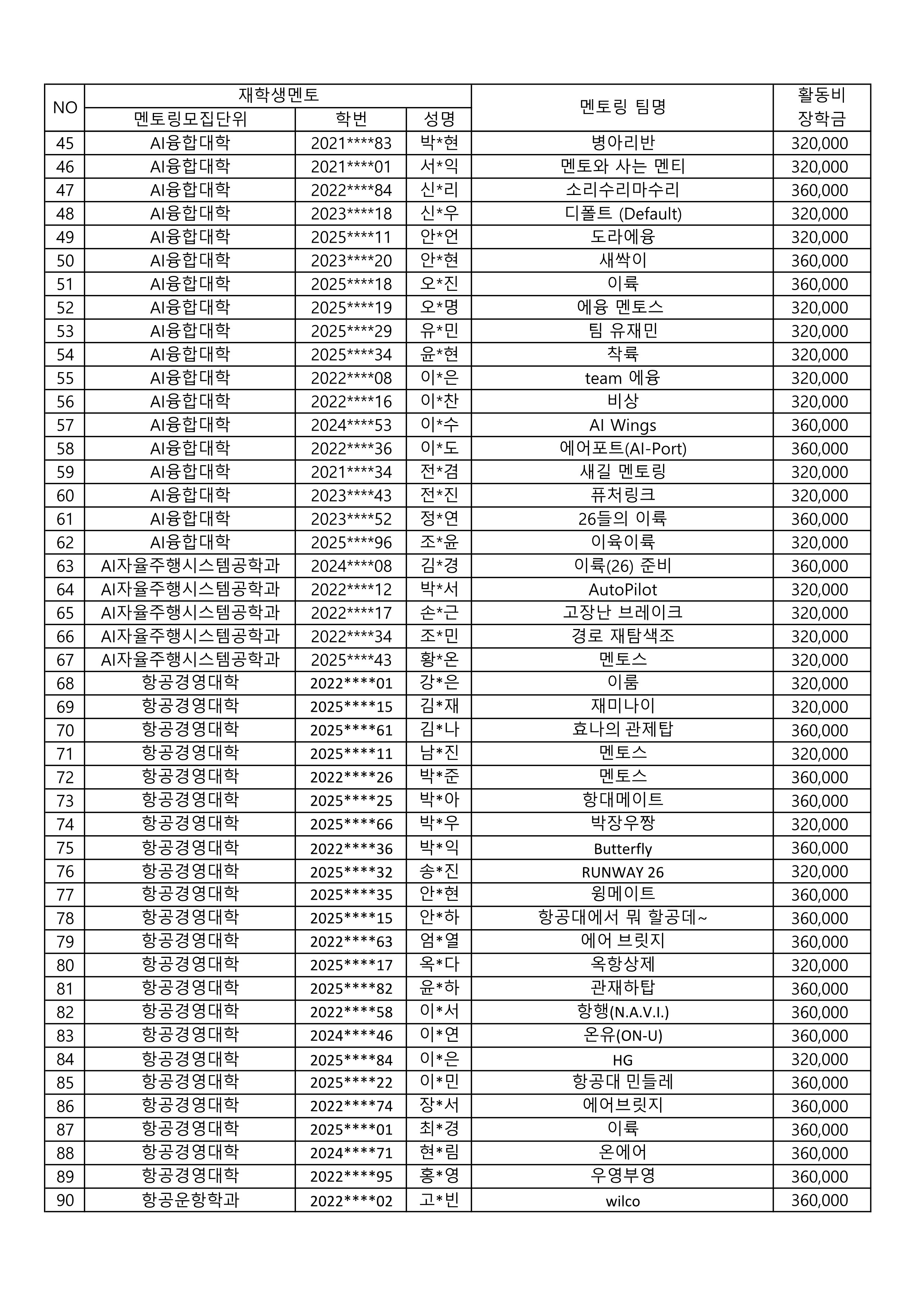
2026-1 재학생멘토 활동장학금 지급 대상자
새내기성공센터
2026-03-10
이전글
[생활법률특강] "교통사고 이것만은 알아야 한다" 특강안내
2026-03-12
다음글
2026 VISION CAMP 퀴즈대회 우승자 장학금 지급대상자 안내
2026-03-10
목록
확인